政策
政策法规库
省政府规范性文件
行政规范性文件
政府信息
公开指南
政府信息
公开制度
法定主动
公开内容
政府文件
机关简介
领导之窗
机构职能
人事信息
规划信息
统计信息
预算/决算
预算公开
决算公开
行政许可/处罚
收费公开
重大决策预公开
财政资金直达基层
政府采购
民生实时信息
住房保障
生态环保/自然资源
义务教育
卫生健康
应急管理
食品药品安全
公共文化/体育
养老/社会救助
招考录用
政策解读
双随机、一公开
公共资源配置
履职清单/证明事项通用清单
政府工作报告
法治政府
建议提案办理
重点领域公开
农业农村
就业创业
营商环境
社会保险
权力和责任清单
政府信息
公开年报
2022
2021
2020
2023
区政府信息公开共年报
区政府各部门
2024
政府网站年
度工作报表
依申请公开
基层政务公
开标准目录
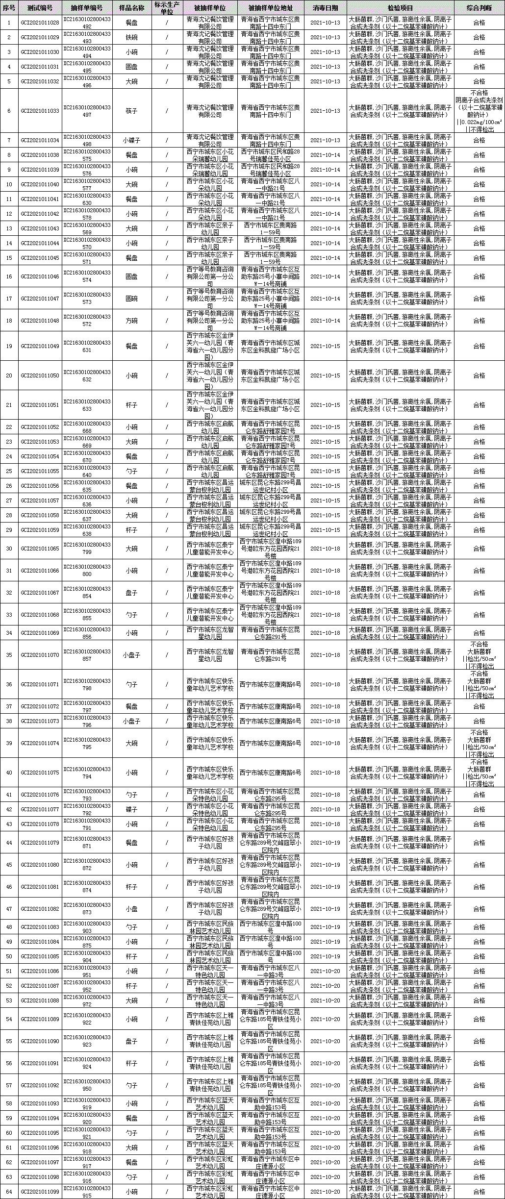
城东区市场监督管理局11月餐饮具检测结果公示表(64批次)
浏览:1289
时间:2021-11-18
来源:区市场监督管理局
公开目录:食品药品安全
索引号
spypaq/2021-101143
主题分类
食品药品安全
发布机构
区市场监督管理局
发文日期
2021-11-18
效力状态
有效
文 号
无
名称
城东区市场监督管理局11月餐饮具检测结果公示表(64批次)